Hackathon
We won the 1st place in Sonic S-tier Global Hackathon (August-September 2025). The content below lists all the necessary information about the hackathon and previous MVP.
ℹ️ INFO
This is an archived page referring to where Pennysia protocol started. It does not represent the current protocol development, but only display as a mark of history.
All Hackathon Winners
The announcement link to showcase all winners, link here.
Pennysia 1st place
The separate announcement for Pennysia winning the 1st place, link here.
Project Submission
Our Hackathon project submission was built on Dorahacks, link here.
Explainer Video + Demo
The video explains the overview of Pennysia's LPM, how it works, its performace, demo, and its distuptive potentials.
Demo-Only Video
This video only shows the demo of how to interact with Pennysia web application.
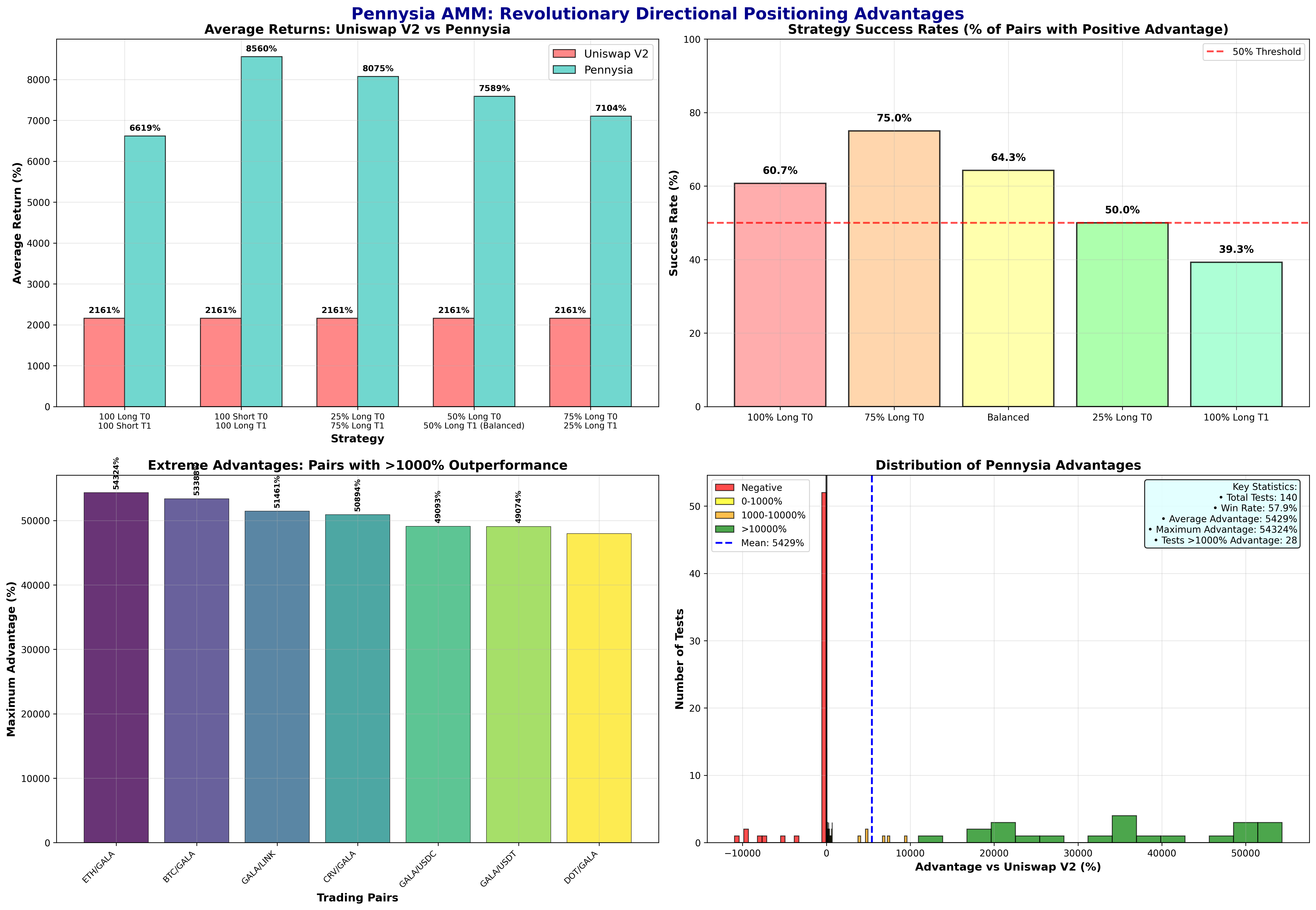
Archived Backtest
Pennysia' backtest using 4 years of historical data (2021-2024), demonstrates Pennysia's clear financial edge over Uniswap V2 and traditional XYK models. With LPM, correct predictions earn double trading fees, specifically designed to offset impermanent loss (IL). This led to substantially higher returns, especially in trending and volatile markets. Our analysis shows Pennysia can offer APRs over 100% when predictions are correct, significantly outperforming Uniswap V2's typical 71%.
ℹ️ INFO
This backtest is no longer valid with the current version of LPM. This test assumes an equal amount of liquiidty on all directions.

MVP on Sonic Mainnet
We have moved the MVP web application to https://mvp.pennysia.com.
⚠️ WARNING
The code used in hackathon MVP is fully opensource, but it is not audited by any trusted party and is not meant to be used in production.



